أول وكالة اخبارية خاصة انطلقت في الأردن

تواصل بلا حدود

أخر الأخبار
باريس سان جيرمان يوجه رسالة لمبابي بعد إلزامه بدفع 61 مليون دولار عدو قلبك الأول .. قلل هذه الدهون واحمِ نفسك من النوبات القلبية بعد إلغاء وجدولة 200 رحلة .. عودة العمليات التشغيلية لمطار الملك خالد بالسعودية رئيس وزراء لبنان: نقترب من إتمام المرحلة الأولى من حصر سلاح حزب الله السعودية : اعدام سوداني لتهريبه الكوكايين في أحشائه توغل إسرائيلي جديد في ريف القنيطرة جنوب سورية ونصب حواجز تفتيش وزارة الشؤون السياسية تنظم ملتقى "الشباب والتحديث السياسي" في إقليم الشمال طقس العرب: استقرار الأجواء في الأردن حتى نهاية الأسبوع مع أجواء باردة ومؤشرات لتغير جوي لاحق فوائد مذهلة للسبانخ .. اكتشفها! تدهور وضع المضربين عن الطعام دعما لغزة في بريطانيا السيتي يقفز إلى صدارة البريميرليج مؤقتًا بازار لدعم المشاريع الصغيرة الهند .. قطار سريع يصطدم بقطيع من 100 فيل ويقتل ورشة بإربد تعاين مستقبل الطاقة في الأردن مصادر: رئيس المخابرات التركية ناقش مع حماس المرحلة الثانية من اتفاق غزة مؤسسة ولي العهد تختتم فعاليات اليوم الدولي للتطوع "الخيرية السويسرية" توزع مساعدات في عجلون الجيش يحبط تهريب كميات كبيرة من المخدرات بواسطة بالونات غارة إسرائيلية على جنوب لبنان تشيلسي يخطف نقطة ثمينة من نيوكاسل
الصفحة الرئيسية أردنيات 20 دينار لـ 1000 موظف في وزارة الصحة .. اسماء

20 دينار لـ 1000 موظف في وزارة الصحة.. اسماء

20 دينار لـ 1000 موظف في وزارة الصحة .. اسماء

02-10-2021 03:21 AM

زاد الاردن الاخباري -

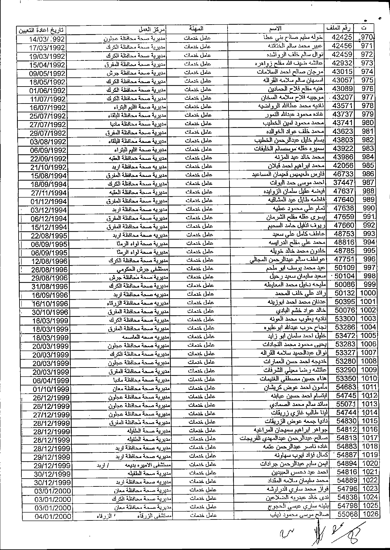
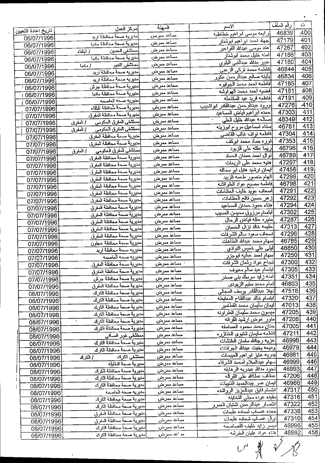
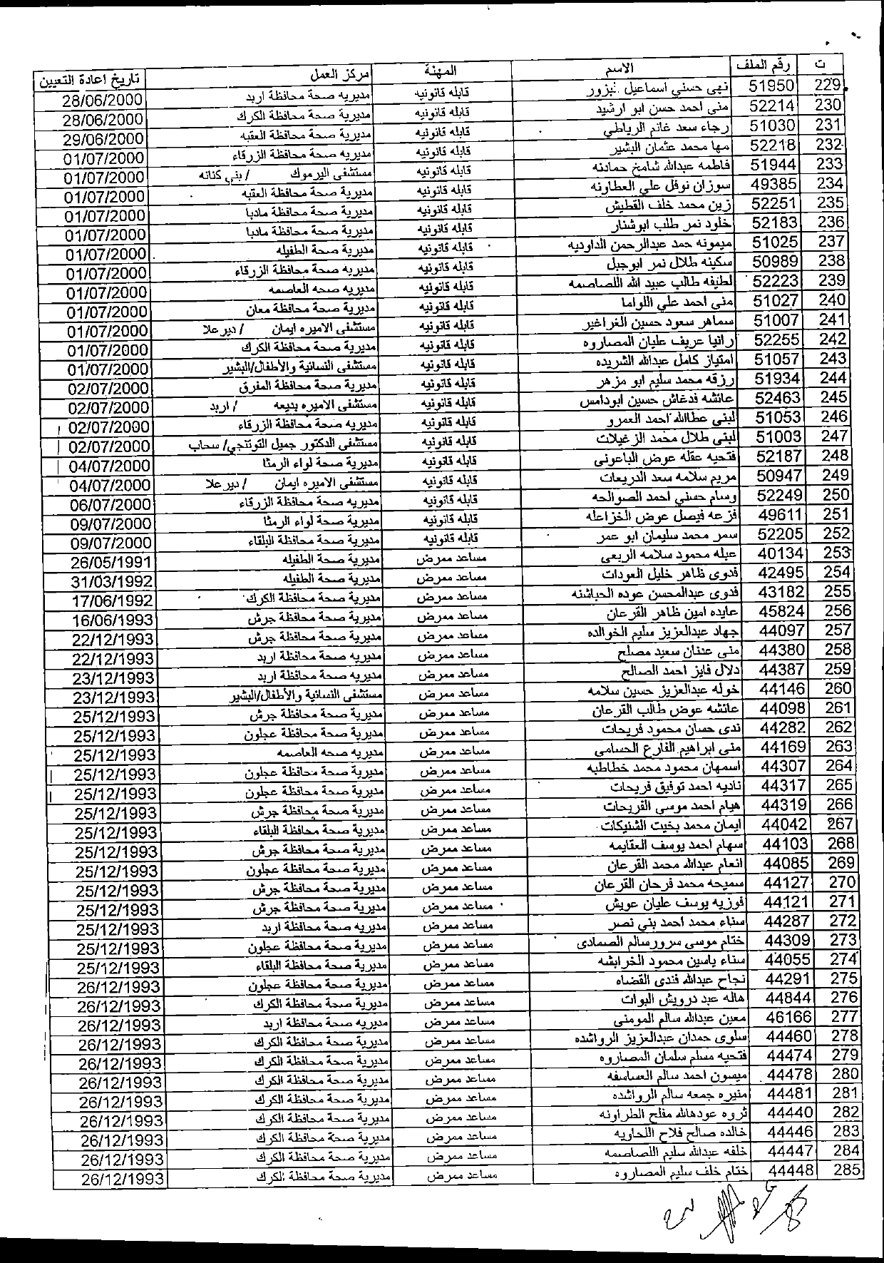
قرّرت أمين عام وزارة الصحة للشؤون الإدارية والفنية الدكتورة إلهام عبدالرحمن خريسات، منح 1047 موظفا في الوزارة علاوة بدل تنقلات بمعدل 20 دينارا، حيث إن طبيعة عملهم تقتضي ذلك.
ويأتي القرار، استنادا لأحكام المادة العاشرة من نظام الانتقال والسفر رقم (56) لسنة 1981.

وتاليا أسماء الموظفين:








تابعونا على صفحتنا على الفيسبوك , وكالة زاد الاردن الاخبارية

التعليقات حالياً متوقفة من الموقع